改性生物炭对不同土壤磷组分及其生物化学性质的影响
经济—社会的快速发展、人口的不断增长导致了土地资源的巨大压力,而农业集约化也引起了土壤的普遍退化(如:土壤侵蚀、水土养分流失、重金属富集及有机物污染等)。据统计,全球大约25%的土地严重退化、50%的土地由于人为活动而中度退化,使得当前和未来的粮食安全受到了严重威胁。因此,退化土地的可持续修复是满足全球粮食需求的重要举措。利用改性生物炭(Modified biochar)技术进行土壤改良、土壤环境修复,无疑是一种行之有效的手段和方法,但有关改性生物炭对不同土壤磷组分及其生物化学性质影响的研究仍有待深入。
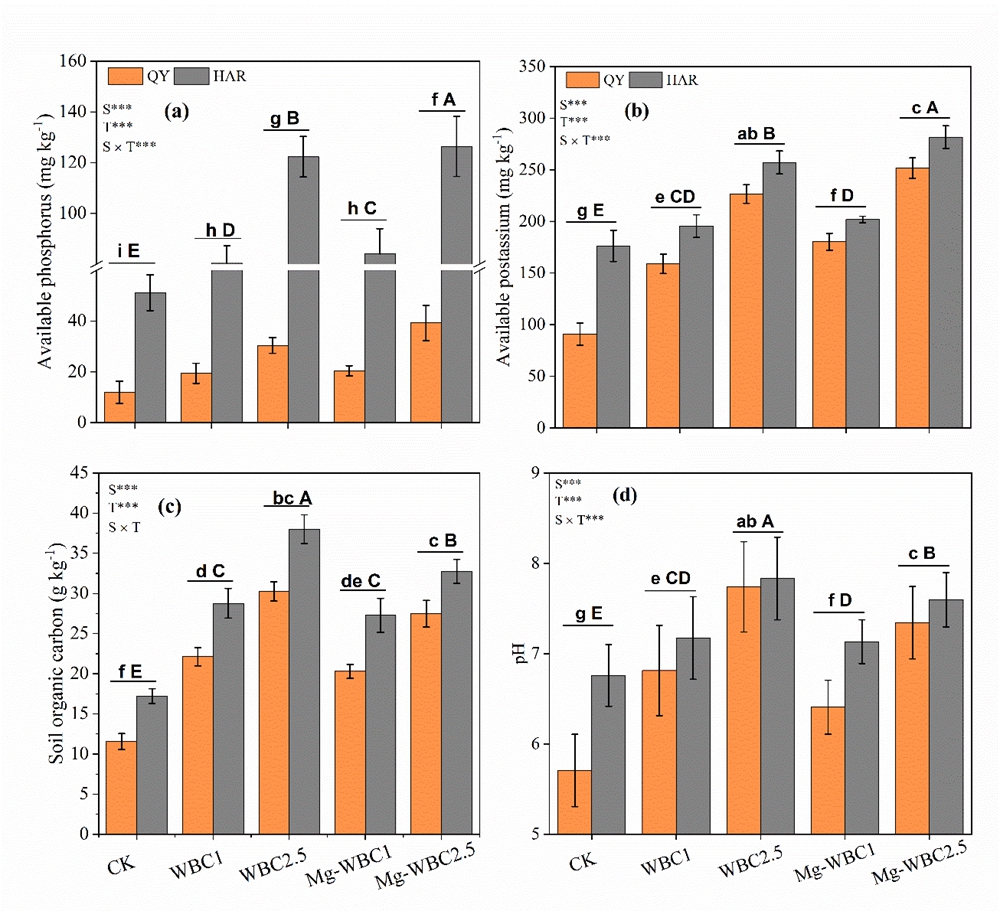
中国科学院西双版纳热带植物园(以下简称“版纳植物园”)生态水文研究组博士后Khan Muhammad Numan联合合作导师(刘文杰、Singh Ashutosh Kumar、张会民-中国农业科学院),测定了非改性生物炭(WBC)、镁改性生物炭(Mg-WBC)对不同土壤(QY、HAR)磷组分、土壤化学性质、酶活性、微生物生物量等影响,结果表明:(1)WBC、Mg-WBC显著改善了土壤特性,碱性磷酸酶、过氧化氢酶活性显著增强,而酸性磷酸酶在1%剂量WBC和Mg-WBC时增强、在2.5%剂量WBC和Mg-WBC时减弱;(2)两种的微生物生物量碳和磷在2.5%剂量WBC和Mg-WBC时均增强;活性磷在1%、2.5%剂量WBC和Mg-WBC时分别增加28–77%、15–47%,中度活性磷浓度在1%剂量时分别较少了2–3%和3–6%、在2.5%剂量时分别增加了9–11%和3–6%,而非活性磷分别较少了27–38%和15–35%;(3)PLS-PM模型分析表明,生物炭添加对酸性土壤的改良具有正向效应,Mg-WBC显著改善了土壤磷可利用性及土壤肥力。
相关结果以Impact of modified biochar on phosphorus fractionation and biochemical properties for different soils为题,发表在期刊Environmental Sciences Europe上。该研究得到了版纳植物园博士后项目、国家基金、云南省基金和“兴滇人才”等项目资助。感谢版纳植物园公共技术服务中心的鼎力支持和帮助

Effect of WBC and Mg-WBC on available phosphorus (a),available potassium (b),soil organic carbon(c),and pH (d).
作者:朱习爱
