热带地区附生维管植物的氮同位素分馏:氮限制实证及驱动因素
森林冠层中存在一个有趣的悖论:尽管冠层存在严峻的养分限制(如氮和磷),但仍有超过31000种附生维管植物在此茁壮成长。受限于附生植物的三维空间分布特征和采样难度,长期以来,附生植物的氮获取和利用策略一直处于模糊状态。一些研究利用叶片氮同位素自然丰度(δ15N)替代植株δ15N来探索附生植物的N经济学。然而,叶片δ15N受氮源信号以及氮吸收、利用和同化过程中体外和体内15N分馏效应的显著调控。而现有研究中,常基于冠层生境中附生植物存在严重的氮限制,假定其在氮吸收和利用过程中不存在或仅存在微弱的15N分馏效应。然而,这一假设的因和果均缺乏广泛的实证支持,导致在利用叶片δ15N推断附生植物N经济学时面临着复杂的不确定性。针对其中附生植物体内(叶-根)15N分馏的科学问题,目前尚不清楚:(1)附生维管植物体内是否普遍发生15N分馏?(3)如果15N分馏发生,分馏程度如何?(3)驱动机制和特征如何?
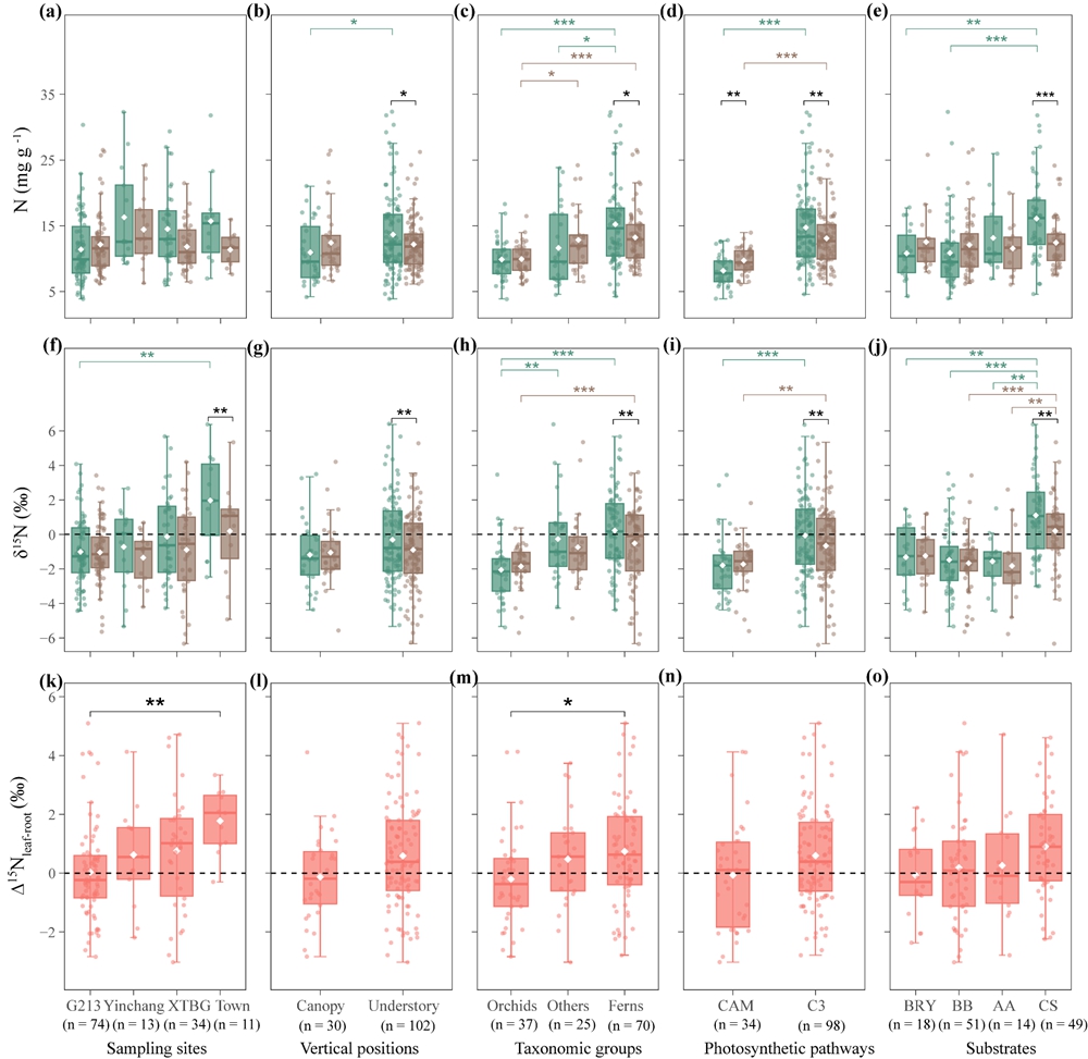
中国科学院西双版纳热带植物园(以下简称“版纳植物园”)研究团队在云南西双版纳热带地区不同生境(版纳植物园、勐仑镇、213国道沿线和银厂)中,采集了涵盖多个类群的24种附生维管植物的叶片和根系材料,测定其C、N含量及δ13C、δ15N,系统回答了上述科学问题。结果表明:1)附生维管植物叶-根间15N分馏效应(+0.43‰)较小,与地生植物(2‰)相比,反映了森林冠层比地面生境存在更严重的N限制;2)附生植物的叶-根15N分馏在不同分组间保持相对一致,但具有显著的物种特异性,且与系统发育无显著相关,反映了外部N源及其N获取策略的综合影响;3)附生植物的叶-根15N正分馏主要与叶片N、根C相关,而负分馏与叶片δ13C相关,暗示不同因素(如外部氮源、水分亏缺和氮获取策略)驱动着其体内15N分馏过程。
这些发现,不仅证实热带地区附生类群与陆生类群(P限制)存在不同的营养限制模式,而且首次系统阐明了附生维管植物体内15N分馏效应及驱动因素。研究还表明,附生植物存在小但显著的叶-根15N分馏;在充分考虑此分馏效应的前提下,分析叶片δ15N可以准确解析热带附生植物的N动态。同时,研究强调了环境因素与物种特异性在不同尺度研究中需予以综合权衡考虑。该研究对基于氮同位素技术探索维持森林冠层植物多样性的潜在机制具有重要价值。
相关结果以Group-consistent but species-specific nitrogen isotope fractionation between leaves and roots in tropical vascular epiphytes为题发表于重要学术期刊Journal of Ecology上。版纳植物园恢复生态学研究组已毕业硕士研究生周春艳为第一作者,李苏研究员和兰州大学纳小凡副教授为共同通讯作者,谭运洪正高级工程师、云南林业职业技术学院刘强教授等也参与该项工作。该研究得到国家自然科学基金、兴滇英才计划青年拔尖人才专项、版纳植物园“十四五”规划等项目资助,以及园林园艺部门、公共技术中心和西双版纳州国家级自然保护区管护局的大力支持。

图1 实验人员野外采样

图2 云南西双版纳热带地区附生维管植物N和δ15N分布特征

图3 云南西双版纳热带地区不同处理组附生维管植物N和δ15N的分布特征

图4 云南西双版纳热带地区附生维管植物根叶分馏(∆15Nleaf−root)驱动因素
作者:周春艳 李苏
