热带树木的“化学策略”:遗传与环境如何塑造种内变异?
植物叶片中蕴藏着数以万计的代谢物分子,这些被称为“代谢组”的化合物不仅是植物应对高温、干旱等环境胁迫的“生存工具库”,更是其与外界生物互动的“化学语言”。它们既能吸引传粉者促进繁殖,又能合成毒素抵御病虫害,甚至通过调控资源分配(如优先合成防御物质还是生长所需的糖类)影响植物的生存策略。传统研究多关注种间变异(即不同物种间的代谢物差异),并常用物种平均值代表整个种群。然而,在热带森林中,同一物种的不同个体间往往存在显著的种内变异—个体间因遗传差异或所处微环境的不同,可能产生截然不同的代谢物组合。这种个体层面的差异不仅影响单株植物的存活与繁殖,还可能通过改变种间竞争关系,从而塑造整个群落的多样性结构。
近年来基于功能生态学的研究越来越强调,忽略种内变异可能导致对森林动态的错误预测。例如,基于物种平均值的模型可能低估个体树木应对气候变化的能力。然而,关于代谢物层面上的种内变异,核心科学问题仍然未解:(1)种内代谢物变异在群落总体代谢物变异中的重要性如何?(2)遗传多样性、非生物环境和生物环境在种内代谢物变异中的相对作用如何?(3)这些驱动因素的相对重要性是否因代谢物的生物合成途径及其功能差异而有所不同?
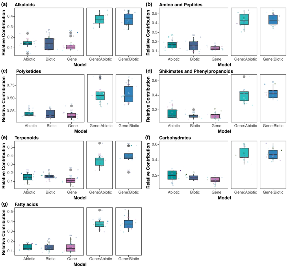
为解答这些关键问题,中国科学院西双版纳热带植物园(以下简称“版纳植物园”)森林生态系统结构、功能与动态研究组与美国德克萨斯大学、德国马尔堡大学、美国宾夕法尼亚州立大学和美国圣母大学的研究团队合作,在中国西南热带季节雨林中选取了10个优势树种共300个个体,创新性整合非靶向代谢组学与限制性位点相关DNA测序技术,系统解析叶片代谢物种内变异的驱动机制。通过解析不同生物合成途径,研究团队系统量化了遗传距离、非生物环境及生物环境对种内代谢物变异的相对贡献。研究发现,种内变异是群落水平代谢物多样性的主要来源,其贡献甚至超过物种水平。不同生物合成途径和物种间,这些驱动因子的相对重要性存在显著差异,生物因素(如邻体效应、虫食压力)对总代谢物和次级代谢物的调控占据主导地位,而非生物环境(如光照、土壤等)则强烈驱动初级代谢物(如碳水化合物)的变异。该研究揭示了种内变异在维持热带森林树种代谢多样性中的核心作用,表明物种依赖特定代谢物类别适应环境压力,而遗传、非生物与生物因素通过途径特异性机制协同驱动种内变异。
该成果是版纳植物园森林生态学研究团队基于树种化合物在探讨多性状维度的生态位分化(Yang et al.,Journal of Ecology,2024;Wang et al.,Journal of Ecology,2022)、热带森林植物化学多样性对植食性的影响(Wang et al.,Ecology Letters,2023),以及基于植物化学多样性多样性揭示热带地区高多样性机制(Sun et al.,Nature Ecology & Evolution,2024)等多个前沿领域后,取得的又一重要标志性进展。
相关研究成果以“Genetic and environmental drivers of intraspecific variation in foliar metabolites in a tropical tree community”为题,发表在国际知名植物学期刊New Phytologist上。版纳植物园森林生态系统结构、功能与动态研究组博士研究生何云雲为第一作者,杨洁研究员和徐国瑞副研究员为通讯作者。该研究在数据采集和分析过程中得到了云南西双版纳森林生态系统国家野外科学观测研究站补蚌工作站和中国科学院昆明植物研究所分析测试中心的支持,并得到了中美生物多样性合作研究项目、国家自然科学基金、中国科学院、云南省、版纳植物园“十四五”等项目的资助,在此表示感谢。

图1. 10个优势物种叶片代谢物组成及不同生物层次贡献的方差分解分析。

图2. 遗传与非生物/生物因素对代谢物种内变异的贡献。

图3. 遗传与非生物/生物因素对七类代谢物种内变异的贡献。
作者:何云雲 杨洁
